Liste switches de lecture DRV PURY YNW-A

Modifié le  Mar, 10 Sept., 2024 à 11:13 H

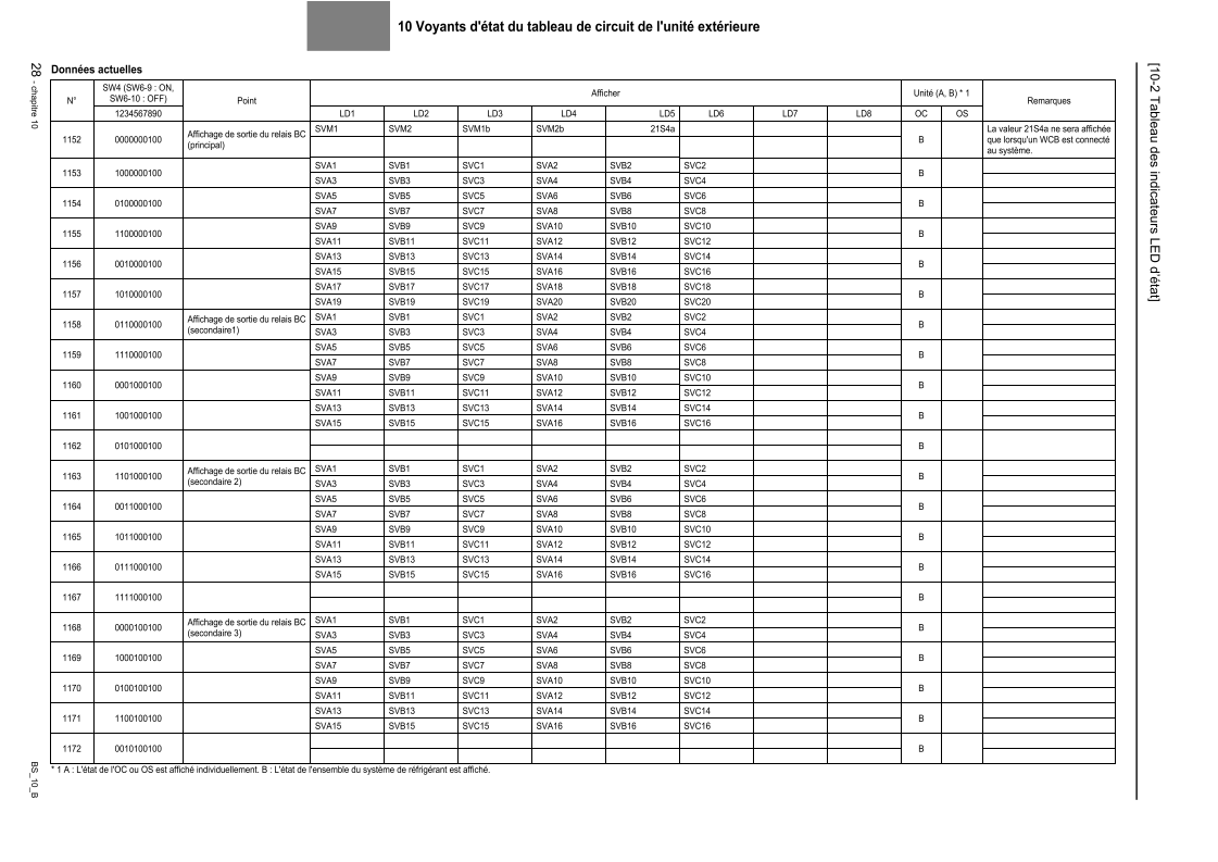
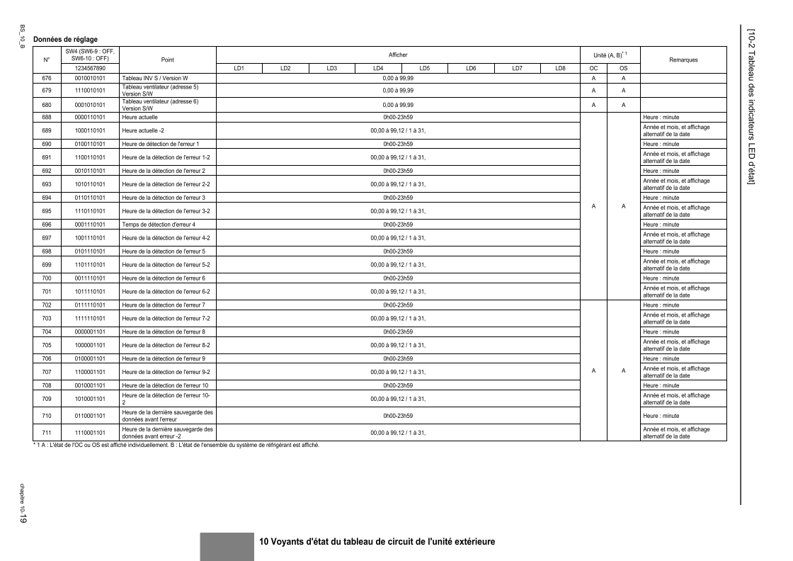
Liste switches de lecture CITY MULTI PURY P EP YNW A YSNW A

Cet article a-t-il été utile ?

C'est super !

Merci pour votre commentaire

Désolé ! Nous n'avons pas pu vous être utile

Merci pour votre commentaire

Dites-nous comment nous pouvons améliorer cet article !

Sélectionner au moins l'une des raisons
La vérification CAPTCHA est requise.

Commentaires envoyés

Nous apprécions vos efforts et nous allons corriger l'article